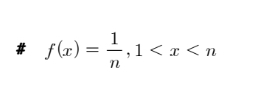
1.연속형 일양 분포( X~ U(0,n))

x값과 상관없이 확률이 일정하다.
n=10
curve(x/x/n,0,n,col=2,lwd=3)



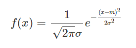
m=0;s2=1 #m=평균 s2=분산
curve( (1/sqrt(2*pi*s2))*exp(-1*(x-m)^2/(2*s2)),-5,5,col=2,lwd=5,main="N(0,1)인 정규분포 그래프")

만약 평균은 같고 분산값만 달라진다면 그래프의 모양은 어떻게 변할까?
▶겹쳐서 그리기 curve (add=T) 활용
m=0;s2=1;s3=2;s4=3;s5=4
curve( (1/sqrt(2*pi*s2))*exp(-1*(x-m)^2/(2*s2^2)),-5,5,col=2,lwd=5,main="N(0,1)인 정규분포 그래프")
curve( (1/sqrt(2*pi*s3))*exp(-1*(x-m)^2/(2*s3)),-5,5,col=3,lwd=5,main="N(0,1)인 정규분포 그래프",add=T)
curve( (1/sqrt(2*pi*s4))*exp(-1*(x-m)^2/(2*s4)),-5,5,col=4,lwd=5,main="N(0,1)인 정규분포 그래프",add=T)
curve( (1/sqrt(2*pi*s5))*exp(-1*(x-m)^2/(2*s5)),-5,5,col=5,lwd=5,main="N(0,1)인 정규분포 그래프",add=T)

분산이 커질수록 그래프가 낮아지는것을 볼 수 있다.
'학교 > R프로그래밍' 카테고리의 다른 글
| R프로그래밍 중간고사 정리-11(확률 계산 및 그래프-정규분포) (0) | 2022.04.17 |
|---|---|
| R프로그래밍 중간고사 정리-10 (확률 계산 및 그래프-이항분포) (1) | 2022.04.17 |
| R프로그래밍 중간고사 정리-8 (이산형 분포 그래프) (0) | 2022.04.17 |
| R프로그래밍 중간고사 정리-7 (함수로 그래프 그리기) (0) | 2022.04.17 |
| R프로그래밍 중간고사 정리-6 (data() 활용하기) (1) | 2022.04.17 |